2025年12月16日,陈珂教授团队在高功率中红外激光脉冲调制研究中取得重要进展,相关论文以“Atomic Oxygen-Passivated 2D Zr/Ta Telluride Crystals as Saturable Absorbers for High Power Mid-Infrared Pulse Generation”为题发表在Advanced Functional Materials(2025, e30237)上。论文链接:https://advanced.onlinelibrary.wiley.com/doi/10.1002/adfm.202530237?af=R
1. 背景介绍
中红外激光(MIR)在光学参量振荡器、生物组织成像、分子光谱传感等领域具有重要应用价值。由于缺乏理想的高质量可饱和吸收体(SA),中红外脉冲激光器的发展仍面临较大挑战。二维(2D)过渡金属碲化物(TMTs)因具备优异的宽带响应与非线性光学吸收特性,被视为极具潜力的中红外可饱和吸收材料。然而,由于TMTs中过渡金属与碲原子之间电负性差异小、化学键较弱,在空气中易受氧气与水分侵蚀,环境稳定性差,严重制约了其在中红外脉冲激光器中的实际应用。因此,如何提升TMTs-SAs在中红外激光工作环境下的稳定性,进而获得高功率脉冲输出,成为推动其实际应用的关键。
2. 成果简介
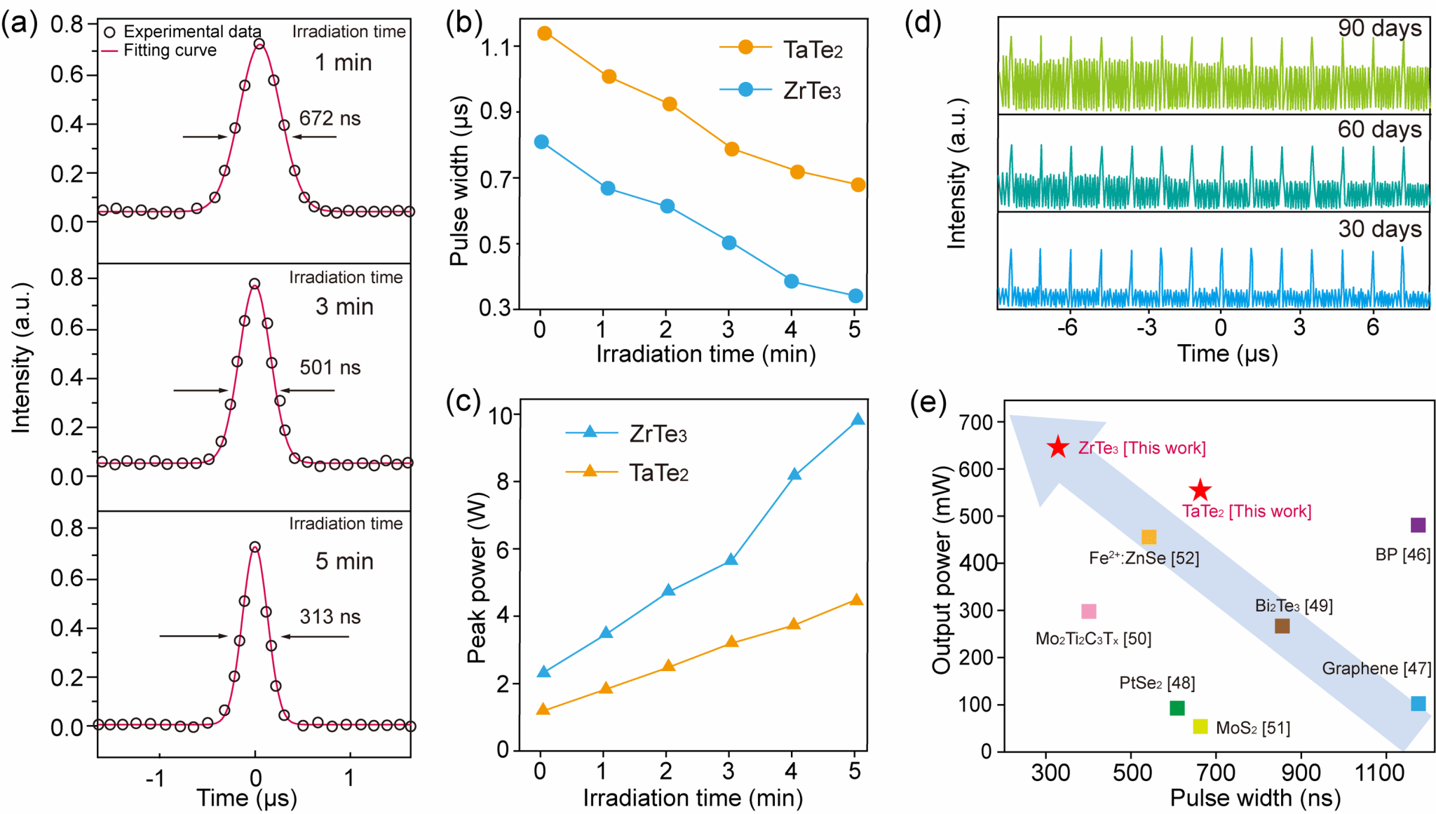
本研究提出了一种制备高性能2D TMT-SAs的策略。该策略通过在CaF2衬底上原位生长出大面积、高质量的2D ZrTe3和TaTe2薄膜,并采用氧等离子体钝化处理,在材料表面形成致密稳定的Zr/Ta氧化物保护层。该氧化层有效隔绝了空气中水和氧气的腐蚀与激光损伤,从而显著提升了器件的稳定性与光学性能, 且不会对中红外激光产生较大损耗。实验结果表明,经过优化处理后的ZrTe3可饱和吸收体,在~3 μm波段调Q脉冲峰值功率高达9.92 W,脉冲宽度为313 ns;TaTe2可饱和吸收体的峰值功率也提升至4.26 W,脉冲宽度减小至680 ns。更值得关注的是,所制备的可饱和吸收体在空气中放置三个月后,仍能保持稳定的调Q脉冲输出能力,展现出其优异的工作稳定性。
本工作提出的中红外二维碲化物可饱和吸收体制备新策略为发展高性能、长寿命中红外脉冲光源提供了重要的材料基础与工艺途径,对推动高功率中红外激光器实用化具有重要的工业推广价值。
3、图文导读

图1. TMT-SA的制备及其饱和吸收性能。(a)TMT-SA示意图。(b)可饱和吸收过程示意图。(c)CaF2衬底上生长2D TMT薄膜前后的光学图像。(d)TMT-SA的SEM图像。插图是AFM图像。(e、f)TaTe2和ZrTe3-SA的XPS光谱。(g)TaTe2和ZrTe3-SA的拉曼光谱。(h)TaTe2和ZrTe3 SA的开孔(OA)Z扫描曲线。(i)TaTe2和ZrTe3 SA的非线性吸收曲线

图2. TMT-SA的调Q性能。

图3. 氧等离子体氧化后TMT-SA的饱和吸收性能。

图4. 不同氧等离子体辐照时间下TMT-SA的调Q性能。(a)不同氧等离子体照射时间下ZrTe3-SA的脉冲曲线。(b)TMT-SAs的脉冲宽度和峰值功率与氧等离子体辐照时间的关系。(c)氧等离子体处理的TMT-SA在空气分别暴露30、60和90天后的调Q脉冲序列。(d)2.8 µm波段下各种纳米材料在调Q性能对比。
河南大学博士后刘卫涛、硕士生刘坤莹为论文共同第一作者,陈珂、刘军辉为论文的共同通讯作者,河南大学为唯一通讯单位。本研究得到了国家自然科学基金、河南省自然科学基金资助项目、国家人才计划和河南省中原英才计划等项目的支持。